Skip to content

Readme

本笔记基于学堂在线人工智能先修基础串讲 - 学堂在线课程 4.5小时学概率论

同时可以参考数学和机器学习基础

事件的运算及其概率

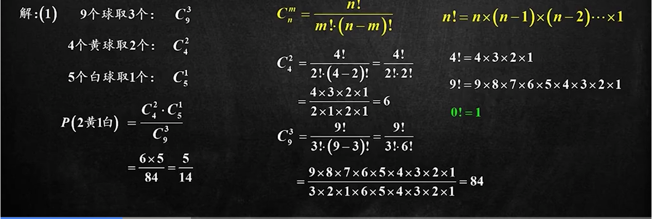
考试题型1·摸球问题(古典概型)

题1.在一个盒子中有4个黄球,5个白球。现从盒中随机取球,每次取1个,共取3次。 (1)若取后不放回,求这3个球中2个黄球,1个白球的概率; (2)若每次取后放回,求这3个球中2个黄球,1个白球的概率。

(2)永远是9个球

三次里面选两次

C怎么求

考试题型2·需要画图的题目(几何概型)

自设xy

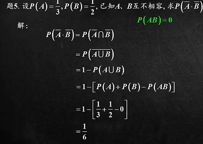
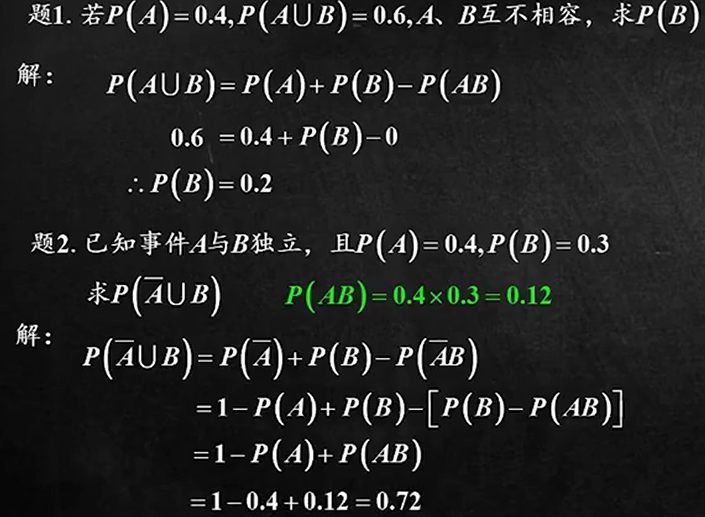
考试题型3·事件的公式与运算

维恩图 文氏图

必背公式

求A、B至少有一个发生的概率

想到对立事件

习题

知识如风,常伴吾身